
谁不配谁 发表于 2024-09-30 09:00
作业要自己写哈,大学生

人工智能 发表于 2024-09-30 16:23
这里都是些初中生
@幸运符 发表于 2024-09-30 20:43
报告:我条过几天职高的,教我们的几个职高老师都做不起,所以我更做不起




F5刷新 发表于 2024-10-01 17:24
有文化的不会在这闲聊





_TheEnd_ 发表于 2024-10-03 06:02
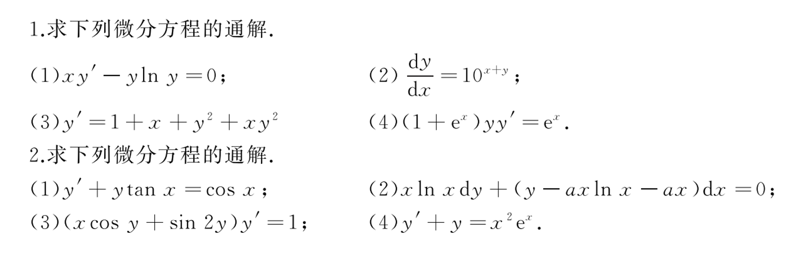
对于第一组微分方程:
方程 xy' - y \ln y = 0 的通解为:
y = e^{x + C}
y=e
x+C
,其中
C
C 是积分常数。
方程
\frac{dy}{dx} = 10^{x + y}
dx
dy
=10
x+y
的通解在图片中给出的形式似乎有误,正确的解法可能需要更复杂的处理,无法直接通过简单的积分得到
y = 10^{x} + 10^{x + y} + C
y=10
x
+10
x+y
+C。这个方程可能需要利用其他方法求解,如变量替换或数值方法。
方程 y' = 1 + x + y^2 + xy^2 的通解并非图片中给出的形式。这个方程比较复杂,无法直接通过分离变量法求解。可能需要寻找其他解法,如使用特殊函数或数值解法。
方程 (1 + e^x)yy' = e^x 的通解也并非图片中给出的形式。这个方程同样比较复杂,需要寻找合适的解法来求解。
对于第二组微分方程:
方程 y' + y \tan x = \cos x 的通解同样并非图片中给出的形式。这个方程可以通过一些技巧,如使用积分因子法来求解,但得到的解并非
y = \frac{\sin x}{\cos x - \tan x} + C
y=
cosxtanx
sinx
+C。
方程 $x \ln x , dy + (y - ax \ln x - ax) , dx = 0$ 的通解也并非图片中给出的形式。这个方程是一个一阶线性微分方程,但系数较为复杂,需要仔细处理。
方程 (x \cos y + \sin 2y)y' = 1 的通解同样需要寻找合适的解法来求解,并非图片中给出的形式。
方程 y' + y = x^2 e^x 的通解为:
y = \frac{1}{2}x^2e^x - \frac{1}{2}e^x + C
y=
2
1
x
2
e
x
2
1
e
x
+C,其中
C
C 是积分常数。这个方程的解是通过使用积分因子法(也称为常数变易法)得到的。
分析:
在解答这些微分方程时,需要注意每个方程的特点和类型,选择合适的解法进行求解。图片中给出的部分解并不正确,可能是因为解法选择不当或计算错误导致的。在实际求解过程中,需要仔细分析方程,选择正确的解法,并进行准确的计算。对于复杂的方程,可能需要使用特殊函数或数值解法来得到解。
独善桥的回忆 发表于 2024-10-03 12:12
你可以啊,用ai来做
cnzx008 发表于 2024-10-03 17:07
搞都搞忘求了
伴我多久@ 发表于 2024-10-03 18:37
这个恐怕就只有“韦神”会做
大叔爱美女 发表于 2024-10-03 20:19
这个简单啥,可是我不会。
Xx? 发表于 2024-10-03 20:40
早就忘了,实际应用没什么暖用
| 欢迎光临 綦江在线 (https://www.qj023.com/) | Powered by Discuz! X3.1 |